Examens de mathématiques appliqués L1 pour les étudiants de licence Licence économie gestion et AES, cet épreuve d’examen qui s’adresse aux étudiants de L1 filière économie gestion et AES évaluant les connaissances des candidats au module de mathématiques appliqués L1.
Mathématiques appliqués L1 : Exemple d'examen pour les étudiants de licence économie gestion et AES
Cet examen précédent de mathématiques appliquées L1 donne aux étudiants une idée sur la méthode et la modalité des épreuves de mathématiques appliquées L1 au licence économie gestion et AES.
Cet exemple d'épreuve de mathématiques appliqués L1 contient deux exercices à résoudre pendant une durée de 2h. Ces deux exercices évaluent les connaissances des candidats en plusieurs notions de mathématiques appliquées L1, tels que la dérivée des fonctions, la résolution de l’inéquation, calcule des limites, étude de la convexité, etc.
I. Exercices : (10 points)
1) Simplifier avec une détaille des calculs :
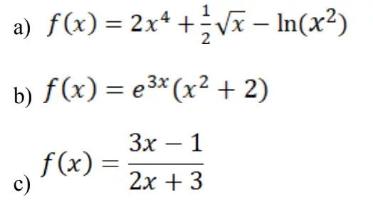
2) Dériver ces fonctions :

3) Résoudre l’inéquation suivante avec la présentation l’ensemble des solutions :
4) Calculer les limites en +∞ et -∞en des fonctions suivantes
II. Etude de fonction (10 points)
Pour les fonctions suivantes :



Enregistrer un commentaire